HL Paper 2
The electron configuration of copper makes it a useful metal.
Determine the frequency of a photon that will cause the first ionization of copper. Use sections 1, 2 and 8 of the data booklet.
The electron configuration of copper makes it a useful metal.
Explain why a copper(II) solution is blue, using section 17 of the data booklet.
The electron configuration of copper makes it a useful metal.
Copper plating can be used to improve the conductivity of an object.
State, giving your reason, at which electrode the object being electroplated should be placed.
Millerite, a nickel sulfide mineral, is an important source of nickel. The first step in extracting nickel is to roast the ore in air.
The reaction for the formation of liquid tetracarbonylnickel is shown below:
Formulate an equation for the oxidation of nickel(II) sulfide to nickel(II) oxide.
The nickel obtained from another ore, nickeliferous limonite, is contaminated with iron. Both nickel and iron react with carbon monoxide gas to form gaseous complexes, tetracarbonylnickel, , and pentacarbonyliron, . Suggest why the nickel can be separated from the iron successfully using carbon monoxide.
Calculate the standard entropy change, , of the reaction, in , using the values given.
Calculate a value for in kJ.
Use your answers to (c)(i) and (c)(ii), to determine the temperature, in °C, at which the decomposition of liquid tetracarbonylnickel to nickel and carbon monoxide becomes favourable.
(If you did not get answers to (c)(i) and (c)(ii), use and respectively but these are not the correct answers.)
Suggest why experiments involving tetracarbonylnickel are very hazardous.
The concentration of a solution of a weak acid, such as ethanedioic acid, can be determined
by titration with a standard solution of sodium hydroxide, NaOH (aq).
5.00 g of an impure sample of hydrated ethanedioic acid, (COOH)2•2H2O, was dissolved in water to make 1.00 dm3 of solution. 25.0 cm3 samples of this solution were titrated against a 0.100 mol dm-3 solution of sodium hydroxide using a suitable indicator.
(COOH)2 (aq) + 2NaOH (aq) → (COONa)2 (aq) + 2H2O (l)
The mean value of the titre was 14.0 cm3.
(i) Suggest a suitable indicator for this titration. Use section 22 of the data booklet.
(ii) Calculate the amount, in mol, of NaOH in 14.0 cm3 of 0.100 mol dm-3 solution.
(iii) Calculate the amount, in mol, of ethanedioic acid in each 25.0 cm3 sample.
(iv) Determine the percentage purity of the hydrated ethanedioic acid sample.
Draw the Lewis (electron dot) structure of the ethanedioate ion, –OOCCOO–.
Outline why all the C–O bond lengths in the ethanedioate ion are the same length and suggest a value for them. Use section 10 of the data booklet.
Explain how ethanedioate ions act as ligands.
Titanium and vanadium are consecutive elements in the first transition metal series.
reacts with water and the resulting titanium(IV) oxide can be used as a smoke screen.
Describe the bonding in metals.
Titanium exists as several isotopes. The mass spectrum of a sample of titanium gave the following data:

Calculate the relative atomic mass of titanium to two decimal places.
State the number of protons, neutrons and electrons in the atom.

State the full electron configuration of the ion.
Suggest why the melting point of vanadium is higher than that of titanium.
Sketch a graph of the first six successive ionization energies of vanadium on the axes provided.

Explain why an aluminium-titanium alloy is harder than pure aluminium.
Describe, in terms of the electrons involved, how the bond between a ligand and a central metal ion is formed.
Outline why transition metals form coloured compounds.
State the type of bonding in potassium chloride which melts at 1043 K.
A chloride of titanium, , melts at 248 K. Suggest why the melting point is so much lower than that of KCl.
Formulate an equation for this reaction.
Suggest one disadvantage of using this smoke in an enclosed space.
An acidic sample of a waste solution containing Sn2+(aq) reacted completely with K2Cr2O7 solution to form Sn4+(aq).
Identify one organic functional group that can react with acidified K2Cr2O7(aq).
Corrosion of iron is similar to the processes that occur in a voltaic cell. The initial steps involve the following half-equations:
Fe2+(aq) + 2e– Fe(s)
O2(g) + H2O(l) + 2e– 2OH–(aq)
Calculate E θ, in V, for the spontaneous reaction using section 24 of the data booklet.
Calculate the Gibbs free energy, ΔG θ, in kJ, which is released by the corrosion of 1 mole of iron. Use section 1 of the data booklet.
Explain why iron forms many different coloured complex ions.
Zinc is used to galvanize iron pipes, forming a protective coating. Outline how this process prevents corrosion of the iron pipes.
Rhenium, Re, was the last element with a stable isotope to be isolated.
Before its isolation, scientists predicted the existence of rhenium and some of its properties.
One chloride of rhenium has the empirical formula ReCl3.
Rhenium forms salts containing the perrhenate(VII) ion, ReO4−.
The stable isotope of rhenium contains 110 neutrons.
State the nuclear symbol notation for this isotope.
Suggest the basis of these predictions.
A scientist wants to investigate the catalytic properties of a thin layer of rhenium metal on a graphite surface.
Describe an electrochemical process to produce a layer of rhenium on graphite.
Predict two other chemical properties you would expect rhenium to have, given its position in the periodic table.
Describe how the relative reactivity of rhenium, compared to silver, zinc, and copper, can be established using pieces of rhenium and solutions of these metal sulfates.
State the name of this compound, applying IUPAC rules.
Calculate the percentage, by mass, of rhenium in ReCl3.
Suggest why the existence of salts containing an ion with this formula could be predicted. Refer to section 6 of the data booklet.
Deduce the coefficients required to complete the half-equation.
ReO4− (aq) + ____H+ (aq) + ____e− ⇌ [Re(OH)2]2+ (aq) + ____H2O (l) Eθ = +0.36 V
Predict, giving a reason, whether the reduction of ReO4− to [Re(OH)2]2+ would oxidize Fe2+ to Fe3+ in aqueous solution. Use section 24 of the data booklet.
Ammonia is soluble in water and forms an alkaline solution:
NH3 (g) + H2O (l) NH4+ (aq) + HO– (aq)
State the relationship between NH4+ and NH3 in terms of the Brønsted–Lowry theory.
Determine the concentration, in mol dm–3, of the solution formed when 900.0 dm3 of NH3 (g) at 300.0 K and 100.0 kPa, is dissolved in water to form 2.00 dm3 of solution. Use sections 1 and 2 of the data booklet.
Calculate the concentration of hydroxide ions in an ammonia solution with pH = 9.3. Use sections 1 and 2 of the data booklet.
Calculate the concentration, in mol dm–3, of ammonia molecules in the solution with pH = 9.3. Use section 21 of the data booklet.
An aqueous solution containing high concentrations of both NH3 and NH4+ acts as an acid-base buffer solution as a result of the equilibrium:
NH3 (aq) + H+ (aq) NH4+ (aq)
Referring to this equilibrium, outline why adding a small volume of strong acid would leave the pH of the buffer solution almost unchanged.
Magnesium salts form slightly acidic solutions owing to equilibria such as:
Mg2+ (aq) + H2O (l) Mg(OH)+ (aq) + H+ (aq)
Comment on the role of Mg2+ in forming the Mg(OH)+ ion, in acid-base terms.
Mg(OH)+ is a complex ion, but Mg is not regarded as a transition metal. Contrast Mg with manganese, Mn, in terms of one characteristic chemical property of transition metals, other than complex ion formation.
Magnetite, Fe3O4, is another ore of iron that contains both Fe2+ and Fe3+.
Iron exists as several isotopes.
Deduce the ratio of Fe2+:Fe3+ in Fe3O4.
State the type of spectroscopy that could be used to determine their relative abundances.
State the number of protons, neutrons and electrons in each species.
Iron has a relatively small specific heat capacity; the temperature of a 50 g sample rises by 44.4°C when it absorbs 1 kJ of heat energy.
Determine the specific heat capacity of iron, in J g−1 K−1. Use section 1 of the data booklet.
A voltaic cell is set up between the Fe2+ (aq) | Fe (s) and Fe3+ (aq) | Fe2+ (aq) half-cells.
Deduce the equation and the cell potential of the spontaneous reaction. Use section 24 of the data booklet.
The figure shows an apparatus that could be used to electroplate iron with zinc. Label the figure with the required substances.
Outline why, unlike typical transition metals, zinc compounds are not coloured.
Transition metals like iron can form complex ions. Discuss the bonding between transition metals and their ligands in terms of acid-base theory.
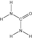
Urea, (H2N)2CO, is excreted by mammals and can be used as a fertilizer.
Urea can also be made by the direct combination of ammonia and carbon dioxide gases.
2NH3(g) + CO2(g) (H2N)2CO(g) + H2O(g) ΔH < 0
Calculate the percentage by mass of nitrogen in urea to two decimal places using section 6 of the data booklet.
Suggest how the percentage of nitrogen affects the cost of transport of fertilizers giving a reason.
The structural formula of urea is shown.

Predict the electron domain and molecular geometries at the nitrogen and carbon atoms, applying the VSEPR theory.

Urea can be made by reacting potassium cyanate, KNCO, with ammonium chloride, NH4Cl.
KNCO(aq) + NH4Cl(aq) → (H2N)2CO(aq) + KCl(aq)
Determine the maximum mass of urea that could be formed from 50.0 cm3 of 0.100 mol dm−3 potassium cyanate solution.
State the equilibrium constant expression, Kc.
Predict, with a reason, the effect on the equilibrium constant, Kc, when the temperature is increased.
Determine an approximate order of magnitude for Kc, using sections 1 and 2 of the data booklet. Assume ΔGΘ for the forward reaction is approximately +50 kJ at 298 K.
Suggest one reason why urea is a solid and ammonia a gas at room temperature.
Sketch two different hydrogen bonding interactions between ammonia and water.
The combustion of urea produces water, carbon dioxide and nitrogen.
Formulate a balanced equation for the reaction.
Calculate the maximum volume of CO2, in cm3, produced at STP by the combustion of 0.600 g of urea, using sections 2 and 6 of the data booklet.
Describe the bond formation when urea acts as a ligand in a transition metal complex ion.
The C–N bonds in urea are shorter than might be expected for a single C–N bond. Suggest, in terms of electrons, how this could occur.
The mass spectrum of urea is shown below.

Identify the species responsible for the peaks at m/z = 60 and 44.
The IR spectrum of urea is shown below.

Identify the bonds causing the absorptions at 3450 cm−1 and 1700 cm−1 using section 26 of the data booklet.
Predict the number of signals in the 1H NMR spectrum of urea.
Predict the splitting pattern of the 1H NMR spectrum of urea.
Outline why TMS (tetramethylsilane) may be added to the sample to carry out 1H NMR spectroscopy and why it is particularly suited to this role.
The emission spectrum of an element can be used to identify it.
Hydrogen spectral data give the frequency of 3.28 × 1015 s−1 for its convergence limit.
Calculate the ionization energy, in J, for a single atom of hydrogen using sections 1 and 2 of the data booklet.
Calculate the wavelength, in m, for the electron transition corresponding to the frequency in (a)(iii) using section 1 of the data booklet.
Deduce any change in the colour of the electrolyte during electrolysis.
Deduce the gas formed at the anode (positive electrode) when graphite is used in place of copper.
Explain why transition metals exhibit variable oxidation states in contrast to alkali metals.
Bromine can form the bromate(V) ion, BrO3−.
State the electron configuration of a bromine atom.
Sketch the orbital diagram of the valence shell of a bromine atom (ground state) on the energy axis provided. Use boxes to represent orbitals and arrows to represent electrons.
Draw two Lewis (electron dot) structures for BrO3−.
Determine the preferred Lewis structure based on the formal charge on the bromine atom, giving your reasons.
Predict, using the VSEPR theory, the geometry of the BrO3− ion and the O−Br−O bond angles.
Bromate(V) ions act as oxidizing agents in acidic conditions to form bromide ions.
Deduce the half-equation for this reduction reaction.
Bromate(V) ions oxidize iron(II) ions, Fe2+, to iron(III) ions, Fe3+.
Deduce the equation for this redox reaction.
Calculate the standard Gibbs free energy change, ΔGΘ, in J, of the redox reaction in (ii), using sections 1 and 24 of the data booklet.
EΘ (BrO3− / Br−) = +1.44 V
State and explain the magnetic property of iron(II) and iron(III) ions.
Cobalt forms the transition metal complex [Co(NH3)4 (H2O)Cl]Br.
Trends in physical and chemical properties are useful to chemists.
Explain why the melting points of the group 1 metals (Li → Cs) decrease down the group whereas the melting points of the group 17 elements (F → I) increase down the group.
State the shape of the complex ion.
Deduce the charge on the complex ion and the oxidation state of cobalt.
Describe, in terms of acid-base theories, the type of reaction that takes place between the cobalt ion and water to form the complex ion.
The overall equation for the production of hydrogen cyanide, HCN, is shown below.
CH4 (g) + NH3 (g) +O2 (g) → HCN (g) + 3H2O (g)
State why NH3 is a Lewis base.
Calculate the pH of a 1.00 × 10−2 mol dm−3 aqueous solution of ammonia.
pKb = 4.75 at 298 K.
Justify whether a 1.0 dm3 solution made from 0.10 mol NH3 and 0.20 mol HCl will form a buffer solution.
Sketch the shape of one sigma () and one pi () bond.
Identify the number of sigma and pi bonds in HCN.
State the hybridization of the carbon atom in HCN.
Suggest why hydrogen chloride, HCl, has a lower boiling point than hydrogen cyanide, HCN.
Explain why transition metal cyanide complexes are coloured.
The properties of elements can be predicted from their position in the periodic table.
Explain why Si has a smaller atomic radius than Al.
Explain why the first ionization energy of sulfur is lower than that of phosphorus.
State the condensed electron configurations for Cr and Cr3+.
Describe metallic bonding and how it contributes to electrical conductivity.
Deduce, giving a reason, which complex ion [Cr(CN)6]3− or [Cr(OH)6]3− absorbs higher energy light. Use section 15 of the data booklet.
[Cr(OH)6]3− forms a green solution. Estimate a wavelength of light absorbed by this complex, using section 17 of the data booklet.
Deduce the Lewis (electron dot) structure and molecular geometry of sulfur tetrafluoride, SF4, and sulfur dichloride, SCl2.
Suggest, giving reasons, the relative volatilities of SCl2 and H2O.
Copper forms two chlorides, copper(I) chloride and copper(II) chloride.
Two electrolysis cells were assembled using graphite electrodes and connected in series as shown.
Copper(I) chloride undergoes a disproportionation reaction, producing copper(II) chloride and copper.
2Cu+ (aq) → Cu (s) + Cu2+ (aq)
Dilute copper(II) chloride solution is light blue, while copper(I) chloride solution is colourless.
State the electron configuration of the Cu+ ion.
Copper(II) chloride is used as a catalyst in the production of chlorine from hydrogen chloride.
4HCl (g) + O2 (g) → 2Cl2 (g) + 2H2O (g)
Calculate the standard enthalpy change, ΔHθ, in kJ, for this reaction, using section 12 of the data booklet.
The diagram shows the Maxwell–Boltzmann distribution and potential energy profile for the reaction without a catalyst.
Annotate both charts to show the activation energy for the catalysed reaction, using the label Ea (cat).
Explain how the catalyst increases the rate of the reaction.
Solid copper(II) chloride absorbs moisture from the atmosphere to form a hydrate of formula CuCl2•H2O.
A student heated a sample of hydrated copper(II) chloride, in order to determine the value of . The following results were obtained:
Mass of crucible = 16.221 g
Initial mass of crucible and hydrated copper(II) chloride = 18.360 g
Final mass of crucible and anhydrous copper(II) chloride = 17.917 g
Determine the value of .
State how current is conducted through the wires and through the electrolyte.
Wires:
Electrolyte:
Write the half-equation for the formation of gas bubbles at electrode 1.
Bubbles of gas were also observed at another electrode. Identify the electrode and the gas.
Electrode number (on diagram):
Name of gas:
Deduce the half-equation for the formation of the gas identified in (c)(iii).
Determine the enthalpy of solution of copper(II) chloride, using data from sections 18 and 20 of the data booklet.
The enthalpy of hydration of the copper(II) ion is −2161 kJ mol−1.
Calculate the cell potential at 298 K for the disproportionation reaction, in V, using section 24 of the data booklet.
Comment on the spontaneity of the disproportionation reaction at 298 K.
Calculate the standard Gibbs free energy change, ΔGθ, to two significant figures, for the disproportionation at 298 K. Use your answer from (e)(i) and sections 1 and 2 of the data booklet.
Suggest, giving a reason, whether the entropy of the system increases or decreases during the disproportionation.
Deduce, giving a reason, the sign of the standard enthalpy change, ΔHθ, for the disproportionation reaction at 298 K.
Predict, giving a reason, the effect of increasing temperature on the stability of copper(I) chloride solution.
Describe how the blue colour is produced in the Cu(II) solution. Refer to section 17 of the data booklet.
Deduce why the Cu(I) solution is colourless.
When excess ammonia is added to copper(II) chloride solution, the dark blue complex ion, [Cu(NH3)4(H2O)2]2+, forms.
State the molecular geometry of this complex ion, and the bond angles within it.
Molecular geometry:
Bond angles:
Examine the relationship between the Brønsted–Lowry and Lewis definitions of a base, referring to the ligands in the complex ion [CuCl4]2−.
Fast moving helium nuclei (4He2+) were fired at a thin piece of gold foil with most passing undeflected but a few deviating largely from their path. The diagram illustrates this historic experiment.
Figure from PPLATO / FLAP (Flexible Learning Approach To Physics), http://www.met.reading.ac.uk/pplato2/h-flap/
phys8_1.html#top 1996 The Open University and The University of Reading.
Suggest what can be concluded about the gold atom from this experiment.
Subsequent experiments showed electrons existing in energy levels occupying various orbital shapes.
Sketch diagrams of 1s, 2s and 2p.
State the electron configuration of copper.
Copper is a transition metal that forms different coloured complexes. A complex [Cu(H2O)6]2+ (aq) changes colour when excess Cl− (aq) is added.
Explain the cause of this colour change, using sections 3 and 15 from the data booklet.
This question is about iron.
Deduce the full electron configuration of Fe2+.
Explain why, when ligands bond to the iron ion causing the d-orbitals to split, the complex is coloured.
State the nuclear symbol notation, , for iron-54.
Mass spectrometry analysis of a sample of iron gave the following results:
Calculate the relative atomic mass, Ar, of this sample of iron to two decimal places.
An iron nail and a copper nail are inserted into a lemon.
Explain why a potential is detected when the nails are connected through a voltmeter.
Calculate the standard electrode potential, in V, when the Fe2+ (aq) | Fe (s) and Cu2+ (aq) | Cu (s) standard half-cells are connected at 298 K. Use section 24 of the data booklet.
Calculate ΔGθ, in kJ, for the spontaneous reaction in (f)(i), using sections 1 and 2 of the data booklet.
Calculate a value for the equilibrium constant, Kc, at 298 K, giving your answer to two significant figures. Use your answer to (f)(ii) and section 1 of the data booklet.
(If you did not obtain an answer to (f)(ii), use −140 kJ mol−1, but this is not the correct value.)